Inverting Summing Amplifier
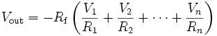
An inverting amplifier can be constructed as a summing amplifier. The output voltage is a weighted sum of the inverting input signals V1, V2, …, Vn. Note that each summing coefficient may be independently adjusted by adjusting the corresponding “feed-in” resistor (R1 to Rn). The figure below is an application of inverting configuration and the VOUT to VIN transfer function.
Example:
An inverting summing amplifier below has three inputs using 100kΩ resistors and a feedback resistor of 50 kΩ.
What is VOUT in terms of V1 and V2? If V1 = 2 V and V2 = 2 V, V3 = 3 V what is VOUT ?
Answer:
VOUT = -50 (V1/100 + V2/100 + V3/100)
VOUT = -50 ((2 V+ 2 V + 3 V )/100 = -3.50 V


